
Солнечно-желтый ажурный пуловер прямого силуэта не только ослепительно красив, но и приятен для кожи. Это заслуга мягкой, слегка ворсистой пряжи, идеальной для межсезонья.
Размеры: 36/38 (40/42) 44/46.

Вам потребуется: пряжа LANA GROSSA “Per Fortuna” (74% хлопка, 36% полиамида; 190 м/50 г) — 350 (400) 450 г желтой Sonnengelb (Fb 44); спицы № 3 И 4; круговые спицы № 3.


Узоры
Узор 1. Резинка.
Ряды в прямом и обратном направлении (нечетное число петель).
Изнаночные ряды: кромочная, попеременно 1 изнаночная, 1 лицевая, закончить 1 изнаночной, кромочная. Лицевые ряды: петли провязывать по рисунку.
Круговые ряды (четное число петель) = попеременно 1 изнаночная, 1 лицевая.
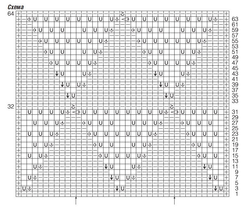
Узор 2. Ажурный узор (число петель кратно 18 + 1 +2 кромочные). Вязать по схеме. На ней даны только лицевые ряды; в изнаночных рядах петли и накиды провязывать изнаночными.
Внимание. Приведенные 32-й и 64-й р. — изнаночные ряды. Начать с петель перед правой стрелкой, постоянно повторять раппорт из 18 п. между стрелками и закончить петлями после левой стрелки. Постоянно повторять 1-64-й р. При выполнении убавок и прибавок следить за тем, чтобы число накидов и провязанных вместе петель внутри ряда постоянно совпадало.


Плотность вязания: узор 2 — 26 п. х 37 р. = 10 x 10 см.

Описание вязания
Спинка.
На сgицы № 3 набрать 115 (129) 143 п. и для нижней планки связать 2 см = 9 р. узором 1, при этом начать с 1 изнаночного ряда.
Продолжить работу на спицах № 4 узором 2, при этом в 1-м р. равномерно прибавить 14 (18) 22 п. = 129 (147) 165 п.
Через 52 см = 182 р. (58 см = 214 р.) 58 см = 214 р. от нижней планки закрыть все петли, из них средние 53 (57) 63 п. образуют горловину, внешние по 38 (45) 51 п. — плечи.

Перед.
Вязать, как спинку, но через 46 см = 170 р. (51 см = 188 р.) 50 см = 186 р. от нижней планки закрыть для горловины средние 35 (37) 41 п. и обе стороны закончить раздельно.
Для скругления горловины по внутреннему краю закрыть в каждом 2-м р. 2 х 2 п. и 5 (6) 7 х 1 п.
Через 52 см = 182 р. (58 см = 214 р.) 58 см = 214 р. от нижней планки закрыть оставшиеся 38 (45) 51 п.

Рукава.
На спицы № 3 набрать для каждого рукава по 59 (67) 73 п. и для планки связать 2 см = 9 р. узором 1, при этом начать с 1 изнаночного ряда.
Продолжить работу на спицах № 4 узором 2, при этом в 1-м р. равномерно прибавить 16 (26) 20 п. = 75 (93) 93 п. Для скосов прибавить с обеих сторон через 24 см = 88 р. от планки 1 х 1 п. и в каждом 6-м р. 8 х 1 п. (в каждом 10-м р. 5 х 1 п.) в каждом 6-м р. 10 х 1 п. и в следующем 4-м р. 1 х1 п. = 93 (105) 117 п.
Через 39 см = 144 р. (41 см = 152 р.) 43 см = 160 р. от планки закрыть все петли.
Сборка.
Выполнить плечевые швы.
Для бейки горловины на круговые спицы набрать по краю горловины 116 (124) 136 п. и связать 2 см = 9 круг. р. узором 1.
Закрыть петли по рисунку. Вшить рукава.
Выполнить швы рукавов и боковые швы.
Лилия
Related posts
Про Автора
Приветствую Вас на моем сайте!
Меня зовут Лилия. Главное хобби моей жизни – вязание. Начинала со спиц, перешла на вязальную машину. В 1988г. познакомилась с крючком – румынское кружево. Лет 10 назад увлеклась ирландским кружевом и шетландским вязанием. А сейчас пробую филейное вязание крючком. На данном сайте я хочу поделится с вами моим 45 летним опытом разных техник вязания.
Последние публикации
Укороченный вязаный жакет с оборкой
Джемпер Celtic Harmony
Джемпер Morgenbris
Джемпер Fabled Harbour
Джемпер Treasure Hunt
Подписка на Блог
Получайте новинки первыми !